为了落实疫情防控要求,大兴区天宫院街道确诊病例所在学校的千余名学生、家长及教职工实行集中医学观察的生活。他们的生活,牵动着不少人的心……
1月23日晚,天宫院街道官方微信公众号发布了一篇小学生的日记。作者是谢怡夏,家住融汇社区,读小学四年级,目前由妈妈陪同,在集中观察点生活。
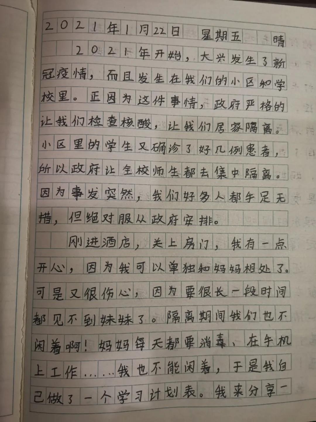
日记写于1月22日,“因为事发突然,我们好多人都手足无措,但绝对服从政府安排。”在日记中,谢怡夏记录下了几天前得知需要集中观察时的心态。



集中观察期,谢怡夏并没有停下学习的脚步,自己制定了学习计划表:
7:30起床开始背单词一单元;8:30开始数学打卡和口算;9:30写日记;11:00阅读;11:30写读书笔记……一天安排得满满当当,很充实。
更令她惊喜的是,妈妈会让她玩15分钟手机,“可能是觉得每天这样很枯燥。给我增加的娱乐时间吧!”谢怡夏在日记中写道,隔离还要很多天,我一定得自律,坚持还每个计划。
日记的最后,谢怡夏写下了美好祝福:我真心希望疫情结束的时候,每个人平平安安,早日可以回归学校,回归家庭,开开心心回家过年。
来源:北京日报客户端
广州日报全媒体编辑 陈婷婷